
본 연구는 국내 주요 목재 수종인 낙엽송의 만성적인 종자 부족 문제를 해결하기 위해 전통적인 채종원의 대안인 체세포묘(클론묘)의 현장 적용 가능성을 기술적으로 분석하였다.
클론묘가 실생묘와 기능적으로 동등함이 입증된다면, 생산 프로토콜 효율화와 비용 절감을 통해 대규모 조림에 적용할 수 있을 것이다.
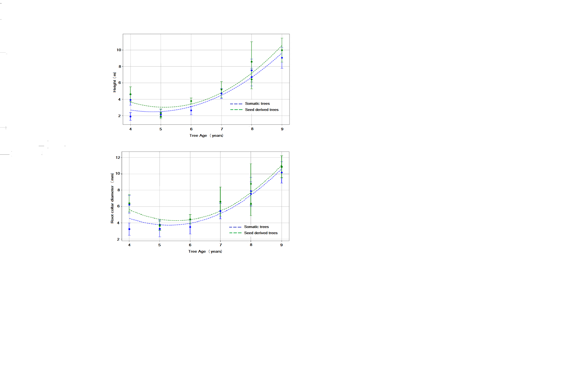
본 연구는 묘포장에서 생산된 클론묘와 실생묘의 조림 현장 성과를 바탕으로 두 묘종의 생장 특성을 비교 분석하는 데 중점을 두었다.
첫째, 통계적 동등성 입증으로 조사 결과, 두 묘종은 생존율, 수고, 근원경, 수형 등 모든 특성에서 통계적으로 구분되지 않는(동등한) 생장 특성 및 형태를 보였다. 이는 클론묘 기술의 현장 적용에 대한 강력한 근거를 제공한다.
둘째, 입지 효과 정량화로 선형 혼합효과 모델(LMM) 분석을 통해 각 조림지의 입지효과가 수고나 근원경 생장에 이바지하는 정도를 정량적으로 밝혀내었다.
셋째, 수령이 각각 다른 입지의 수고생장을 연평균 생장으로 변환시켜 토양 요소 들 중 점토, 미사질 토양의 유의적인 효과를 밝혀낸 점이다.
넷째, 같은 수령의 클론묘(유전적으로 동일)가 실생묘보다 오히려 더 큰 폭의 변이(표준편차)를 보이는 현상이 전 조사구에서 관찰되었다. 이는 클론묘가 환경에 더 민감하게 반응했거나, 식재 당시의 기준선(묘목 상태)이 달랐던 영향으로 해석되며 균일한 클론묘 생산을 위해 노력할 필요가 있음을 강조한다.
마지막으로 일부 고산지대의 풍 노출이 심한 지역에는 내한성이 있는 낙엽송이라도 건조 피해로 인해 생장이 지체됨을 확인하였고 같은 수령이라도 묘령이 다른 묘목의 식재 결과의 차이를 확인시켜 주었다.
본 연구의 한계는 조림 당시의 물리적/생리적 묘목 상태, 식재지 환경, 식재 기술의 일관성, 하예작업 정보 등에 대한 데이터가 존재하지 않아서 동일 조사구 안에서 개체 목 간의 큰 변이(Residual Error)를 충분히 설명하지 못했다는 점이다.
1) 앞으로 클론묘 기술의 성공적인 현장 적용을 위해서는 다양한 세포 계통 유도, 효율적인 체세포묘 발생, 안정적인 순화 체계 등의 병목 구간 해소를 위한 세밀한 연구가 필요하다.
2) 클론묘 증식의 대안으로 증식 효율성을 높이기 위해 클론 묘들에서 hedging 등으로 삽수를 대규모 생산하는 방안도 탐구해 볼 필요가 있다.
3) 클론묘 생산 비용에 관한 조직적인 연구를 진행하여, 실생묘와 비교한 경제성을 명확히 입증할 필요가 있다.
